두벌식 0.0.1

실험하거나 연구하고 있는 자판 배열
답글 달기
phantom0378

두벌식 0.0.1

글쓴이: phantom0378 »

ㅁㄴㅇㄹ
첨부파일
두벌식 0.0.1.ist
(2.5 KiB) 2445 번째 다운로드
phantom0378

Re: 두벌식 0.0.1

글쓴이: phantom0378 »

ㅁㄴㅇㄹ
첨부파일
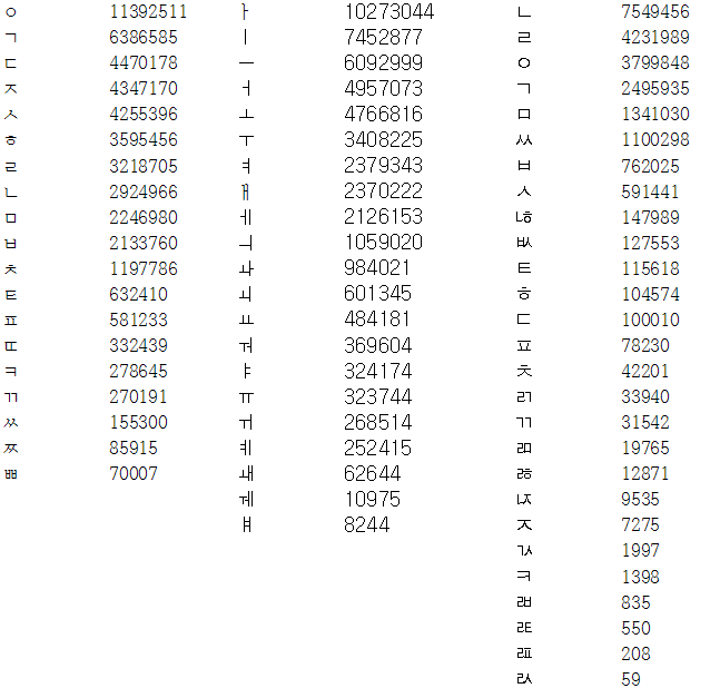
사용빈도.png
답글 달기